KS990旋进旋涡流量计选型安装知识介绍
1.流量计选型
在选型过程中应把握两条原则;即:一要保证生产安全,二要保证使用精度。为此必须落实三个选型参数,即近期和远期的最大、最小及常用流量(主要用于选定仪表公称通径)、被测介质的设计压力(主要用于选定仪表的公称压力等级)、实际工作压力(主要用于选定仪表压力传感器的压力等级)。
a. 当已知被测流量为工况体积流量时,可直接按表中的流量范围选取适配的公称通径;
b. 当已知被测流量为标况条件下的体积流量时,应先将标况体积流量QN换算为工况体积流量Qv,再按技术参数表中的流量范围选取相应的公称通径;
c. 当两种口径流量计均能覆盖最低和最高体积流量时,在压损允许下,应尽量选小口径;
d.勿使实际最小流量Qmin低于所选公称通径流量计的流量下限;
e.流量范围、公称压力有特殊要求时可协议订货。
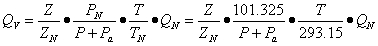
f.选型计算公式如下:
式中:T、P、Pa含义同上,Q为体积流量,Qn为标准体积流量,Z/Zn数值列于表2.因计算步长较大,表内数据仅供参考,表中数据按天然气真实相对密度Gr=0.600,氮气和二氧化碳摩尔分数均为0.00计算。当介质压力低于0.1MPa,均可按Z/Zn=1估算。
表2
2.选型实例:
已知某一供气管线实际工作压力范围为表0.80MPa-1.2MPa,介质温度范围为-10℃~+40℃,供气峰值为标准体积流量2500,供气谷值为标准体积流量5600,天然气之真实相对密度Gr=0.591,氮气摩尔百分含量为Mn=1.6%,二氧化碳摩尔百分含量为Mc=0.8%,当地大气压力为101.3KPa,要求确定流量计之口径。
当介质压力为0.8MPa,温度为40℃,天然气的压缩因子影响最小,此时当处于供气峰期时,具有最大体积流量;而当介质压力为1.2MPa,温度为-10℃,压缩因子影响最大,此时当处于供气谷期时,具有最小体积流量。
当Gr=0.591, Mn=1.6%,Mc=0.8%,表压P=0.8MPa,温度T=40℃,按SY/T6143之公式,可求得Zn/Z=1.0127,故最高体积流量为
当表压P=1.2MPa,温度T=-10℃时,可求得Zn/Z=1.0355,故最小体积流量为:
再由表1查得“流量计口径为200mm,即选取KS990型流量计。
用户订购本产品时应根据流体的工作压力、介质温度、流量范围、流体种类,环境条件选择合适的规格,有防爆要求的,请严格防爆等级。
用户在订货时请按照下面格式正确填写。
产品选型编码:
备注:
1、口径及压力等级选型时参考 表3
2、用户需输出信号时要外接24V.DC
3.流量计外形尺寸及安装外形尺寸图
流量计的外形尺寸如图3所示,图中未注尺寸列于表1中,流量计采用法兰连接方式,法兰尺寸执行GB/T9112~9113-2000标准。
表3 单位:mm
|
型号 |
公称通径(DN) |
压力等级(MPa) |
A |
H |
D |
K |
n×d |
|
KS990-020A |
20 |
1.6、2.5、4.0、6.3 |
160 |
305 |
105 |
75 |
4-φ14 |
|
KS990-025A |
25 |
1.6、2.5、4.0、6.3 |
180 |
315 |
115 |
85 |
4-φ14 |
|
KS990-032A |
32 |
1.6、2.5、4.0、6.3 |
200 |
330 |
140 |
100 |
4-φ18 |
KS990-050A
KS990-050B |
50 |
1.6、2.5、4.0 |
232 |
355 |
165 |
125 |
4-φ18 |
|
6.3 |
365 |
180 |
135 |
KS990-080A
KS990-080B |
80 |
1.6、2.5、4.0 |
330 |
390 |
200 |
160 |
8-φ18 |
|
6.3 |
400 |
215 |
170 |
KS990-100A
KS990-100B |
100 |
1.6 |
410 |
410 |
220 |
180 |
8-φ18 |
|
2.5 |
420 |
235 |
190 |
8-φ22 |
|
4.0 |
420 |
235 |
190 |
KS990-150A
KS990-150B |
150 |
1.6 |
580 |
470 |
285 |
240 |
8-φ22 |
|
2.5 |
490 |
300 |
250 |
8-φ26 |
|
4.0 |
490 |
300 |
250 |
|
KS990-200A |
200 |
1.6 |
700 |
525 |
340 |
295 |
12-φ22 |
|
2.5 |
540 |
360 |
310 |
12-φ26 |
|
4.0 |
550 |
375 |
320 |
12-φ30 |
注:※为特殊规格要求。
4.流量计安装
(1)流量计的安装图示
(2)安装注意事项
² 传感器按流向标志可在垂直、水平或任意倾斜位置上安装;
² 当管线较长或距离振动源较近时,应在流量计的上、下游安装支撑,以消除管线振动的影响;
² 传感器的安装地点应有足够的空间,以便于流量计的检查和维修,并应满足流量计的环境要求;
² 应避免外界强磁场的干扰;
² 在室外安装使用时,应有遮盖物,避免烈日曝晒与雨水浸蚀,影响仪表使用寿命;
² 管线试压时,应注意智能型流量计所配置压力传感器的压力测量范围,以免过压损坏压力传感器。
² 应注意安装应力的影响,安装流量计上游和下游管道应同轴,否则会产生剪切应力。安装流量计的位置应考虑密封垫片的厚度,或在下游侧安装一个弹性伸缩节。
² 安装流量计之前应先清除管道中的焊渣等杂物。
² 投入运行时,应缓慢开启流量计上、下游阀门,以免瞬间气流过急而冲坏起旋器。
² 当流量计需要有信号远传时,应严格按“电气性能指标”要求接入外电源(8~24)VDC,严禁在信号输出口直接接入220VAC或380VAC电源;
² 用户不得自行更改防爆系统的接线方式和任意拧动各个输出引线接头;
² 流量计运行时,不允许随意打开后盖改动仪表参数,否则影响流量计的正常工作;
² 定时检查流量计法兰处的泄漏情况。
(3)直管段要求
根据旋进旋涡流量计的工作原理和流量计对上、下游直管段要求,对各种上游阻力件,
|
说 明 |
图 示 |
保证其上游侧的直管段长度至少为3D,其下游侧的直管段长度至少为2D。示意图见Ⅰ。
(D:旋进旋涡流量计的公称通径) |
 |
弯管:
对于弯管,要保证其上游侧的直管段长度至少为3D,其下游侧的直管段长度至少为2D。示意图见Ⅱ。 |
缩管:
对于缩管,要保证其上游侧的直管段长度至少为3D,其下游侧的直管段长度至少为2D。示意图见Ⅲ。 |
扩管:
对于扩管,要保证其上游侧的直管段长度至少为3D,其下游侧的直管段长度至少为2D。示意图见Ⅳ。 |
阀门:
如果上游侧有阀门,那么要保证其上游侧的直管段长度至少为5D,其下游侧的直管段长度至少为2D。示意图见Ⅴ。 |
建议采用如下图所列的前后直管段长度,且保持直管段内壁光滑平直。
28165万彩网10
(4)内置电池的使用及更换

1)电池电量显示
当电池显示仅剩一格时,要求用户在一个月内更换电池;只显示电池外形符号时,则电池电量已耗尽,必须立即更换电池。

2)电池的更换方法
28165万彩网10
打开智能流量积算仪的后盖,松开电池盖板上的三颗螺钉,拔下电池插座,取出电池,换好新电池后重新安装。
防爆场所安装要求
28165万彩网10
² 流量计应有可靠的接地,防爆接地不应与强电系统的保护接地共用。
28165万彩网10
² 现场测试电源时,不允许使用交流电源接地。
28165万彩网10
² 在任何情况下,用户不得自行更改防爆电路、元器件和防爆型式。
² 必须先切断外接电源再打开转换器盖子。
上一篇:KS990流量计的主要技术参数与功能
下一篇:旋进旋涡流量计使用方法28165万彩网10